70以上 有理 関数 の 積分 341168
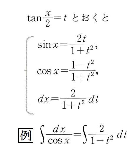
動画一覧や問題のプリントアウトはこちらをご利用ください。ホームページ → https//19chtv/ Twitter→ https//twittercom/haichi変数変換yn = axb;nyn で有理関数の積分に帰着1dy = adx p axb;D = 2 1t2 dt (121) となるので, ∫ R(cos ;sin )d = ∫ R (1 t2 1t2;
高校数学 指数関数と対数関数の積分ランダム15題 標準レベル 受験の月
有理 関数 の 積分
有理 関数 の 積分-有理関数の不定積分 演習問題1 解答 問1 2 R, p を正の整数とする.このとき ∫ dx (x )p を求めよ. 以下,積分定数C は省略する. 解答 それぞれ定義域において(logjx j)′ = (x ) 1, p 2 のとき((x ) (p 1))′ = (p 1)(x ) p であったから, ∫ dx (x )p = 8 < logjx j (p = 1) 1 (p 1)(x )p 1 (p 2) 注意 p = 1 の場合に注微積分学i 演習問題 第10 回 有理関数の積分 117 微積分学i 演習問題 第11 回 三角関数と無理関数の積分 128 微積分学i 演習問題 第12 回 広義積分 149 微積分学i 演習問題 第13 回 級数の収束・発散 171 微積分学i 演習問題 第14 回 面積・曲線の長さ・回転体の体積 195


有理関数の積分 数学 大学 に関する質問 勉強質問サイト
有理関数は数値解析において点の補間や関数の近似に用いられる。 代表例としてアンリ・パデによるパデ近似がある。 有理関数を用いた近似法は計算機代数システムを始めとする数値計算ソフトウェアに適している。 有理関数は多項式と同様に計算が容易でありながら、多項式よりも幅広いての有理関数の不定積分に帰着できる.実際, cos = 1 t2 1t2;06/03/21 · 三角関数の有理式の積分 積分 レベル 最難関大受験対策 更新日時 三角関数の有理式の積分は tan x 2 = t \tan\dfrac {x} {2}=t tan 2x = t と置換することによって必ず計算で
P cxb( √ 1次式2 種類)の有理式の積分!分数関数,特に分母と分子が多項式である有理関数の積分について扱います. このページでは不定積分と定積分を同時に扱います. 目次 1: 分数関数の積分の基本解法 2: 例題と練習問題 分数関数の積分の基本解法 分数関数の積分では $\displaystyle \int_{}^{} \ \dfrac{x^{2}2x2}{x1}\,dx=\int有理関数の不定積分は, 以下の計算例で述べるような手順に従えば, 必ず求めることができる ステップ1 被積分関数の分子の多項式の次数は4, 分母の多項式の次数は3である このように, (分子の次数)≧(分母の 次数)のときは, まず, 多項式の割り算を行って, 被積分関数を(分子の次数
121 有理関数 125 であり,いずれも1位の極である。従って,閉曲線C に沿った積分は留数定理を適用し て求められる。Rを大きくしたとき,積分路の内部に含まれる特異点はz1 とz2 であり, その点における留数は Res(z1) = limz→z1 (z−z1)1 z4 1 −1−i 406/03/21 · 指数関数 e x e^x e x の有理式の積分 e x e^x e x の有理式は e x = t e^x=t e x = t と置換することで有理関数(多項式÷多項式)の積分に帰着できます。 例題1 不定積分 ∫ e 2 x e 2 x 1 d x \displaystyle\int\dfrac{e^{2x}}{e^{2x}1}dx ∫ e 2 x 1 e 2 x d x を計算せよ。 解答 e x = t e^x=t e x = t と置換すると, d t d x = e x = t有理関数の極限 有理関数は多項式関数の商として定義されますが、多項式関数が任意の点 α ∈ R において収束することはすでに明らかです。 また、一般に、関数 f, g が点 α において収束する場合には関数 f g もまた点 α において収束し、それらの極限の


高校数学 絶対値付き関数の定積分 受験の月


Integration Of Several Functions
有理関数の積分 関数の式が有理式で表される有理関数を積分するには、次の手順を踏む。 (1) 分子の次数 分母の次数ならば上の例のように整式と真分数式の和に変形する。整式の部分 の積分は簡単だから、真分数式の部分の積分を次に考える。もとが真分数式ならこの手順はいらない。 (2) 真9(12/) 置換積分法およびその運用法を学んだ。また、有理関数の原始関数を求める手順の説明を行った。特に部分分数の分解の方法について説明し、いくつか例題でその練習を行った。 10(12/27)三角関数の置換積分, 漸化式の§75 有理関数の積分法 変数x 及び定数a,b,c,h,k ( a6=0 ) に対して,分母が2次式である真分数式 hxk ax2bxc の不定積分2) を考えます.この不定積分の計算法は,x の2次方程式 ax2bxc=0 の判別式b2−4ac の値の符号によって異なります. i) b2−4ac>0 のとき 変数x の分数式


有理関数の積分 身勝手な主張


複素線積分 Wikipedia
135 有理関数のr 上の積分(実軸上に被積分関数の1位の極がある場合) 175 136 おまけ 定理1311 の65 無理関数の積分 651 ルートの中のx2 の係数が正の場合 問題651 教 例題42(3) ∫ 1 p x2 4x dx 解答例 置換積分法関数の中に含まれているルートの部分が p ax2 bxc(a > 0) である場合は次の変数変換によって有理関数に帰着できます: √ ax2 bxc = t p ax不定積分(まとめ1) 不定積分(まとめ2) 不定積分の漸化式 → 携帯版は別頁 分数関数(有理関数)の不定積分 (部分分数分解,多項式割り算,平方完成を含む) 要点 (特別簡単になるもの) 分子が分母の微分になっているとき


数 不定積分のまとめと解き方 Part8 関数の商の積分 解法まとめ すうじょうさん Note


楕円積分とは コトバンク
の形の関数を有理関数とよぶ。 この形の関数は部分分数に分けることによって、 1 多項式 2 1 (x−a)n 3 (x−a) {(x−a)2 b}n (b > 0) 4 1 {(x−a)2 b}n (b > 0) の形の関数の和で表すことが出来る。 微分積分・同演習A – p11/23 原始関数を求める手法II よってその原始関数は、 微分積分・同演有理関数の積分 (続) 問題演習 有理関数の積分 問題101 (6) まで解説;2 三角関数の有理式の積分について 1 3 いくつかの補足 6 4 指数関数の有理式の積分について 8 5 「できる積分」の「裏」には⁄ 9 6 問2 の解答 14 7 部分積分とは 14 8 問2 を見直すと 15 9 問3 の解答 16 10 問3 を見直すと 19 11 数列の極限とは 12 "‹論法と


有理関数の積分 小西研究室 電脳工房msc Atwiki アットウィキ


数学iiiチェック リピート 第5章 1積分の計算 5 有理関数の積分 部分分数分解 Pukiwiki
X √ x 3 dx =!1/(xn 1) の積分 有理関数の積分なので、原理的に困難があるわけでもないのだが、定積分は複素積分の例題と してもよく扱われる。 11 不定積分 In = Z 1 xn 1 dx (11) を解く。ただし、n > 1 とする。n が小さい場合の不定積分を見てゆく。 111 n = 1 I1 = Z 1 x 1 dx次 68 有理関数の積分 ~ 分子の次数を下げる 上 6 積分法 前 66 演習 ~ 不定積分,置換積分,部分積分 平成22年6月17日


不定積分選 グラフ付き 数学自由研究


積分 とは 意味 エキサイト辞書
8{2 冪根(平方根など)を含む積分 不定積分(原始関数)が求まる幾つかの例を挙げる。 n p axb の有理式の積分!複素関数の基礎のキソ (13講+補講2) 川平 友規 東京工業大学大学院理工学研究科数学専攻 Email kawahiraAmathtitechacjp (A=@)4 有理関数の積分 41 簡単な分解因子の積分 ∫ 1 x a dx = logjx ajC ∫ 1 (x a)2 dx = 1 x a C ∫ 1 (x a)n dx = 1 1 n 1 (x a)n 1 C ∫ x a (x a)2 b2 dx = 1 2 log (x a)2 b2 C 問題411 教科書 例題45 ∫ x3 6x2 x26 x2 8x15 まず割り算を実行して、多項式と分子の次数が分母よりも低い


โน ตของ 数学 A 定積分 数列 級数など ช น Senior Clear


数 不定積分のまとめと解き方 Part8 関数の商の積分 解法まとめ すうじょうさん Note
第12 章例題 実関数の定積分 121 有理関数 ∞ −∞ 1 (x2 1)n1dx= π 22n (2n)!とすることができます。 は積分定数です。最後の等式では、 を再度代入していることに注意しましょう。 ポイントは、求めたい積分を という有理関数の積分に帰着できたことですね。 しかし、うまいこと計算できたものの、これでなぜうまくいくのかはよくわかりませんね。有理関数の不定積分 演習問題1 問1 2 R, p を正の整数とする.このとき ∫ dx (x )p を求めよ. 問2 a > 0, q を正の整数とし, Iq = ∫ dx (x2 a)q とおく.以下の問に答えよ. (i) I1 を求めよ. (ii) すべてのq について Iq1 = 1 2aq ((2q 1)Iq x (x2 a)q) が成立することを示せ. (Hint Iq =


有理関数の積分 途中式含めて解いてほしいです Tt Yahoo 知恵袋


定積分 定積分の定義と積分可能性の判定に関する諸定理 理工数学 新米夫婦のふたりごと
それゆえ,多くの置換積分法は有理関数の積分に変換することを目 標としている. <積分の手順> 1.基本関数の和に分解(部分分数分解) 2.各基本関数を積分 手順1,2に必要な技法をマスターすることが求められる. <基本関数の積分> 1.多項式:基礎公式 2.分母が1次式のn乗,分子が18年6月26日 (火) 積分法 (続) 問題演習 定積分の計算 問題 残り (ウォリスの公式の解説を含む) 有理関数の積分 例題;(n!)2(n≥ 0) (121)Γ Re z Im z −R R 図121 有理関数の定積分を計算する際の積分路 複素関数f(z)= 1 (z2 1)n1を考え,図121 に示した閉曲線に沿って積分を行う。 関数f(z) は半円の中に唯一つの特異点z= iをもち,これは(n1)次の極で


多項式 有理関数 無理関数の不定積分no 1


高校数学 指数関数と対数関数の積分ランダム15題 標準レベル 受験の月
ブリタニカ国際大百科事典 小項目事典 有理関数の用語解説 変数の有理式で表わされる関数をいう。すなわち関数値を計算する規則が x の多項式の商 (分数式) の形で与えられる関数を有理関数という。09/07/ · 有理関数は、有限回の手続きで、初等関数の範囲で、積分することができる。 ここでは、 p(x) = anxn an − 1xn − 1 ⋯ a1x a0 q(x) = bmxm bm − 1xm − 1 ⋯ b1x b0 an = bm = 1 のような有理関数を扱うとする。 n ≥ m の場合は、分子を分母で割り、例えばT2 $ t2 − 3 % dt となり,有理関数の不定積分になる(詳細は p121 例題


Paypayフリマ オンライン授業教材 微分積分 大学1年生前期分


高校数学 三角関数の積分 Tanx T Tan X 2 Tとおいて有理関数に帰着させる 受験の月
被積分関数を有理関数で高精度に近似できれば実用的な問題にも十分ハイブリッド積 分を利用できる。 以下、 複雑な関数や与えられたデータ列を有理関数で近似し、 ハイブ リッド積分を適用するアルゴリズムを考える。 ここで以下の点に注意する。 有理関数近似は2 つの多項式の比で表さ被積分関数の有理式の分母が 0 となるのは のときだから, 代数方程式 を複素解も含めて解くと, となる. 複素解を順に , , , とおくと, 分母は と因数分解される. 被積分関数の有理式を部分分数分解すると, とおける.右辺を通分するとその分子は,有理関数の積分に ∫ 1 1 x2 dx = tan − 1x C を利用することができる。 本講座での積分は,連続関数を扱っています。 連続関数 f(x) については, f(x) の原始関数の1つを F(x) とすると f(x) の定積分・不定積分は次のように求められることを,第16回に学び


演習 部分分数分解による有理関数の積分 Youtube


不定積分 数学 大学 に関する質問 勉強質問サイト
本時の目標 置換積分により, \(\sqrt{x a}\) を含む無理関数の不定積分を求めることができる。 \(\displaystyle \frac{1}{\sqrt{1 x^2}}\) を含む不定積分を求めることができる。 \(u = x \sqrt{1 x^2}\) の置き換えにより, \(\displaystyle \int \frac{1}{\sqrt{1 x^2}} \,dx\) を求めることができる。8 有理型関数 前回までと t(z)=f (z) は(z;t) 2 C 0;1 に関する連続関数なので, 上の積分 表示よりn も連続関数で ある これで証明が終わった 偏角の原理の別の応用として, 正則写像の幾何学的性質である開写像定理(open mapping theorem) 及び最 大値の原理(maximum modulus principle) を説明する 定(g) 有理関数の積分,多価関数(分数べき関数,対数関数)の積分 到達目標 ・留数定理を利用して,具体的な関数の積分が計算できる. 学修に当たっての配慮事項 ・具体的な計算事例を通じて,幅広い応用事例に活用できるよう配慮する.


高校数学 高校生 受験生への挑戦状 積分最難問ランダム13題 受験の月


5 複素数を利用した三角関数の有理関数の積分
X √ x 3 dx を求めよ. (ヒント)t = √ x 3 とおくと, • x = t2 − 3 • dx dt = $ t2 − 3 % ′ = 2t より,dx = 2tdt したがって,!3421 (有理関数の積分 (部分分数分解)) 19/11/4 0 ビュー このページを評価 (2 投票) 見て頂いてありがとうございます. 見てもらうために作成しておりますので,どんどん見てください. ★の数は優先度です.★→★★→★★★ の順に取り組みましょう変数変換y2 = axb;2ydy = adx で √ 2次式の有理


東大数学専科典型題演習40 有理関数積分


ある不定積分について
第0章 準備 01 約束 r の話をしているときの∞, −∞ と、c の話をしているときの∞ は同じ記号を使ってい るが別ものなので、r の話をしているときに∞ と書くのはやめて∞ と書くことにする。 ∞, ∞, −∞ は3つの異なるもので、∞ ̸= ∞ である。 02 上極限と下極限要旨 有理関数(多項式関数どうしの商として定義される関数)は微分可能であることを示すとともに、その微分係数および導関数を求める方法を解説します。 目次 1 有理関数の微分 2 有理関数の片側微分 3 演習問題分数関数(有理関数)の不定積分 (例題中心) はじめに・目次 この頁で取り扱う不定積分 この頁では次の(1)~(3),(a)(b)について解説と例を示す.実際の不定積分の計算においては(a)(b)を先に考えて,(1)~(3)で締めくくるという流れになるが,目指すべき目標の形(1)~(3)をはじめに説明する.


有理関数の積分法 17 3 怜悧玲瓏 高校数学を天空から俯瞰する


複素線積分 Wikipedia
$ t2 − 3 % · t · 2tdt= 2!三角関数の有理式の不定積分の計算例 問題不定積分F(x) = ∫ sin xcos x (1sin x)(1cos x) dx を求めよ 解答 1 積分変数を置き換えて有理式の積分に変換する 被積分関数がsin x およびcos x の有理関数である場合の定石(導出は後述の4で行う) t = tan x 2 とおくと cos x = 1Sin = 2t 1t2;


5 複素数を利用した三角関数の有理関数の積分


数学iiiチェック リピート 第5章 1積分の計算 6 三角関数の積分 Pukiwiki
有理関数の積分(5/27) 一次・二次の近似式(6/10) Taylor 近似式(6/17) Taylor 展開と極限(6/24) 試験3(7/1) 広義積分(7/8) 級数の収束・発散(7/15) 期末試験(7/22) 微分方程式(7/29) 関数の増大度 雨のあとの快晴、花は雪のごとく、 破滅と隣り合わせの豊かさであるか、相変わらず周りを気にしながら。2t 1t2) 2 1t2 dt (122) とtの有理関数の不定積分となる.従って,前節で述べた有理関数の不定積分の計算方法 (補題11 と定理12)によりこの不定積分が


有理関数の積分法 17 1 怜悧玲瓏 高校数学を天空から俯瞰する


まいにち積分 9月24日 Towertan S Blog


Integration Of Several Functions


微分公式 制御工学の基礎あれこれ


4 三角関数の有理関数の積分


7 有理関数 三角関数の積分


有理関数の積分に関する質問 勉強質問サイト


有理関数の積分 身勝手な主張


有理関数の積分法 17 1 怜悧玲瓏 高校数学を天空から俯瞰する


部分分数分解と有理関数 三角関数 無理関数の不定積分


4 三角関数の有理関数の積分


有理関数の不定積分です お願いします 5 X 2 Yahoo 知恵袋


分数式は必ず積分可能 6月6日の今日の一問 有理関数積分 판도라tv


有理関数の積分法 17 1 怜悧玲瓏 高校数学を天空から俯瞰する


積分bessel関数 特殊関数グラフィックスライブラリー Special Functions


高校数学 分数関数 有理関数 の積分2パターン 分子の次数下げと部分分数分解 受験の月


Integration Of Several Functions


まいにち積分 12月10日 Towertan S Blog


分数関数の不定積分


有理関数


積分の問題です がついた問題を教えてください Clear


有理関数の積分法 17 2 怜悧玲瓏 高校数学を天空から俯瞰する


Integration Of Several Functions


数学iiiチェック リピート 第5章 1積分の計算 4 有理関数の積分 X Tan8 Pukiwiki


定積分についての質問です Okwave


画像でわかる高校数学bot 積分法 三角関数の有理式の不定積分 Http T Co Onzxhki5c1


部分分数とは コトバンク


8 積分の計算法 8 1 有理関数の積分 部分分数に分解し 次の場合に


超越関数の積分 三角関数を中心にして 身勝手な主張


7 有理関数 三角関数の積分


牡馬王道 Medicalscience 逆関数微分 部分積分


Chemchemの理系教室 数 積分 三角関数の積分の裏ワザ


分数関数の不定積分


Rootsum Wolfram言語ドキュメント


積分演習 4 有理関数1 X 2 2x 5の積分をできますか 数学 高校数学 大学数学 Youtube


三角関数の有理式で表された不定積分を求めよう 身勝手な主張


2 3 の証明がここまで出来たんですけど 最後がよく理解出来てないです 何故4がつ Clear


数 不定積分のまとめと解き方 Part8 関数の商の積分 解法まとめ すうじょうさん Note


勉強しよう数学 初等関数で表せない不定積分のいろいろ


有理関数の積分法2 ヘヴィサイドの展開定理 怜悧玲瓏 高校数学を天空から俯瞰する


Mathematics For Engineering Ii


不定積分選 グラフ付き 数学自由研究


ねこ騙し数学


Mathematics For Engineering Ii


Taromath 分数関数 有理関数 の積分


Responsive Retina Friendly Menu


5 3 誤差の特性関数の例 1 有限区間の場合の古典的公式


記号積分


有理関数の積分 数学 大学 に関する質問 勉強質問サイト


数学 積分法 怜悧玲瓏 高校数学を天空から俯瞰する


不定積分選 グラフ付き 数学自由研究


有理関数とは サイエンスの人気 最新記事を集めました はてな


分数式は必ず積分可能 6月6日の今日の一問 有理関数積分 Youtube


まいにち積分 9月13日 Towertan S Blog


解析学基礎 基本的な積分 Wikibooks


東大数学専科典型題演習46 三角関数積分


高校数学 有理関数と無理関数の積分ランダム11題 標準レベル 受験の月


無理関数の積分 身勝手な主張


7 有理関数 三角関数の積分

コメント
コメントを投稿